Buckingham \(\pi\) theorem 버킹엄 파이 정리는 차원 분석을 하는데 사용되는 주요한 정리이다. Buckingham $\pi$ theorem $n$ 개의 변수로 이루어진 어떤 물리 법칙이 $k$ 개의 기본 차원에 의존한다면, 이 법칙은 $(n − k)$ 개의 무차원군(dimensionless group, $\pi$-group)으로 표현될 수 있다. 수학적으로 표현한다면, $n$ 개의 독립 변수인 물리량 $q_i$ 가 다음과 같은
Free Rotation of a Rigid Body 과학적으로 중요하게 사용된 개념에는 하이라이트를 하였다. Introduction 이 글을 읽기 전에 자신의 핸드폰을 특정 축을 기준으로 회전 시키며 위로 던져보자. 핸드폰은 모두 무사한가요? k, l, m 축을 기준으로 회전시키며 던져보면 각 회전마다 특징이 있다는 것을 알 수 있다. 필자의 기억이 틀리지 않았다면 (한번 믿어보자) k, l 축을 기준으로 회전시켰을 경우
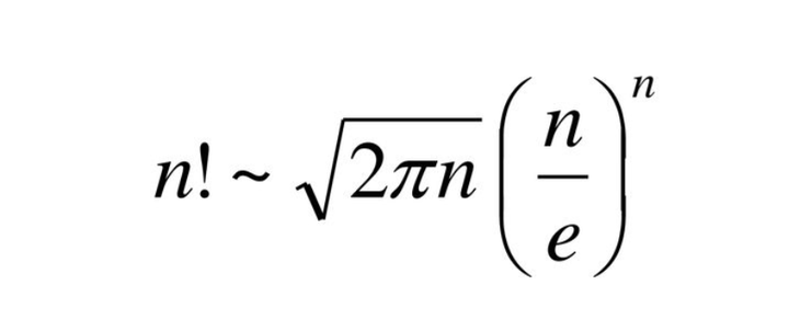
Stirling's approximation Definition \[n!\sim\sqrt{2\pi n}\left(\frac{n}{e}\right)^n\] \(n\rightarrow\infty\) 일때, 비가 \(1\) 이 된다는 뜻 Proof 먼저, 증명을 위해서 \(n!\) 을 감마 함수 표현으로 고치도록 하자. \[n! = \Gamma(n+1) = \int\nolimits_{0}^{\infty}x^n e^{-x}\mathrm{d}x\] 이때, 피적분
Stirling's Approximation 💬이 글은 Park Jonghwi 의 글 [Stirling's Approximation] 와 Lee JunSeok 의 글 [스털링 근사 : 노베이스 증명] 의 내용을 합친 글이다. Introduction 위에서 언급된 두 글에서는 각각 다른 방법으로 스털링 근사를 유도했다. 하나의 글에서는 팩토리얼을 감마 함수로 표현하고 감마 분포의 성질을 이용하여 스털링 근사를 유도하였고, 다른 글에서는 팩토리얼에
Sackur-Tetrode Equation ⚠️이 글에서는 갑자기 처음 보는 개념들이 당연하다는 듯 사용될 수 있다. (불친절하다...) 따라서 글의 내용을 더 정확하게 이해하고 싶은 사람들은 필자가 전에 쓴 글들을 모두 읽고 오기를 바란다. (사실 필자의 모든 글들은 이 글을 위한 빌드업 이었다...) Introduction 우선... 제목에 써져 있는 이상한 등식에 대해서 더 알아보고 싶은 사람은 많이
Surface Area of n-sphere Introduction 이 글에서는 n 차원 초구(hypersphere)의 겉부피를 구해볼 것이다. 나중에 열 및 통계 역학에서 나오는 식을 유도할 때 사용되기 때문에 잘 알아두도록 하자. 일단 n 차원 구의 겉부피는 다음과 같다. 💡 \[S_{n-1} = \frac{2\pi^{\frac{n}{2}}}{\Gamma\left(\frac{n}{2}\right)} R^{n-1} \] 이때, \(S_