시리즈 | Book Review - 0. Prologue 부제-세상은 넓고 책은 많다 옛날(아주 옛날!)에 사르트르가 한 말이 있다. 내가 세계를 알게 된 것은 책에 의해서였다. 이처럼 책은 단순히 글이 적힌 종이가 아니라, 더 넓은 세상으로 쉽게 나가게 해주는 통로이다. 선사 시대에 석기가 있었다면, 역사 시대를 대표하는 물건은 단연 글과 책일 것이다. 300만년의 인간 역사를 책 몇
PROJECT : BIRDCAGE(A KWC Awarded Novel) Chapter I : The Prologue “Sarah, run!” Two people were running down the main street of a city in pandemonium. Debris fell from the roofs as the two ran up a steep hill into a school, its nameplate barely recognizable. “We’re almost there. We just—” The taller of the two
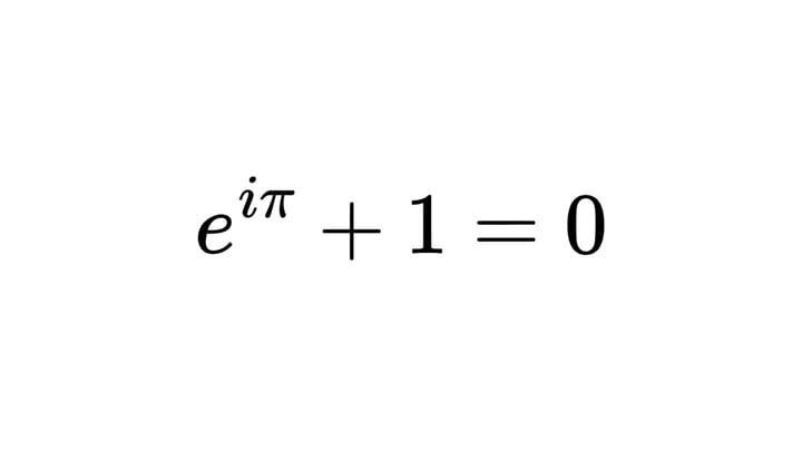
뭔가 매우 신기한 급수, Taylor's Series 드디어 때가 왔다. 오늘은 \( y=e^x\)와 같은 초월함수를 근사하는 방법에 대하여 알아보자. 이를 위해서는 테일러 급수라는 매우 신기한 급수를 알아야 하는데, 오늘은 이것에 대해 알아보고, 증명하며, 활용해본다. 시작하자. I. 초월함수란 무엇인가? 초월함수란 이름에서 알 수 있듯이 다항함수로 나타내지 못하는 함수들을 뜻한다. 대표적인 예시로는 아래의 것들이 있다. \[ y=sin(
Proof of The Runge-Kutta Method - Part 1 The R-K method, more well known as the Runge-Kutta method, is a powerful way to interpret Ordinary Differential Equations, or ODEs for short.
Classifying Coding Langs. Today's post...is basically explained by the title. Yes, today, we'll compare and classify a few famous programming languages by criteria. Let us begin. Introduction : Classifying Languages. There are a million different ways to classify programming languages(I mean, technically, whether the founder of the language